Lotlord Pro


Лотереи


На сайте:

Посетителей 3
Статей по теме 26
Уроков по Lotlord 16
Систем анализа 15
Рекомендаций 25
Сетевых лотерей 8
Online операторов 3


Степенное прогнозирование в лотереях

В сложном, непознанном мире живем мы. Много задач нужно еще решить в процессе познания окружающей действительности. И при этом нас все время преследуют аналогии. Как раз об аналогиях в процессе познания законов лотерейной игры я хочу и поговорить сегодня. А поводом к тому стал анекдот - шутка, которую совсем недавно рассказала мне моя жена, учитель математики в школе. Для того, чтобы однажды улучшить знания учеников, учителя иногда рассказывают ученикам такое:

"Идет по улице Математик и громко кричит: "Функции, я вас дифференцирую и интегрирую! ". Ничего не остается функциям, как разбегаться на все стороны. Тем не менее одна функция горделиво стоит на месте и совсем не реагирует на Математика. "А ты почему не убегаешь? " спрашивает ее Математик. "Ибо я функция

Лотереи: первая формула

с достоинством отвечает она. Ничего вы мне не сделаете. При дифференцировании я совсем не изменяю своего вида, а при интегрировании лишь прибавлю какую-то постоянную величину, что мне совсем не повредит!"

Задумался я над этим анекдотом-шуткой и начал припоминать все, что знаю об этой функции. Да, функция вида

Лотереи: формула №2

действительно имеет особые, чудодейственные свойства. В частности, как раз эта функция описывает сложные процессы размножения живых организмов, изменения параметров в атмосфере (температуры, давления, влажности), радиоактивного распада и т.п. А нельзя ли применить функцию этого вида для прогнозирования чисел, которые выпадают в лотереях? Почему не попробовать применить такую аналогию еще к одному чрезвычайно сложному процессу выпадения шариков из лототрона. Выдающийся отечественный математик А.В.Скороход в своей книжке "Вероятность вокруг нас" (Киев, Научная мысль, 1980г. , стр. 138) указывает на то, что вероятность того, что событие может не состояться, определяется формулой:

Лотерея: третья формула

где а - параметр степенного распределения, t - время ожидания что события.
Тогда вероятность того, что событие состоится, определится формулой:

Лотерея: следующая формула

Из формулы (2) видим, что вероятность увеличивается с возрастанием времени ожидания события, то есть, чем больше будет проведено тиражей, тем большая вероятность того, что шарик выпадет как выигрышный из лототрона.

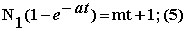
Обозначим через N количество проведенных тиражей до последнего выпадения шарика, mt - частота выпадения шарика за N проведенных тиражей; t - время ожидания, то есть количество тиражей, которые состоялись с момента последнего выпадения шарика к моменту проведения очередного тиража. На основании приведенных выше соображений можно записать

Лотерея: выражение №5

Из формулы (3) найдем величину -at:

Лотереи: формула 6

Если за N тиражей шарик выпал mt раз, то (mt + 1) раз она выпадет за N1 тиражей. Тогда формула (3) приобретет вид:

Лотерея: выражение №7

Из формулы (5) найдем номер тиража, в котором шарик может появиться с частотой mt+1:

Лотерея: формула №8

Подставим в (6) значение величины -at с формулы (4), получим:

Лотерея: окончательное выражение








Лотерея - анализ